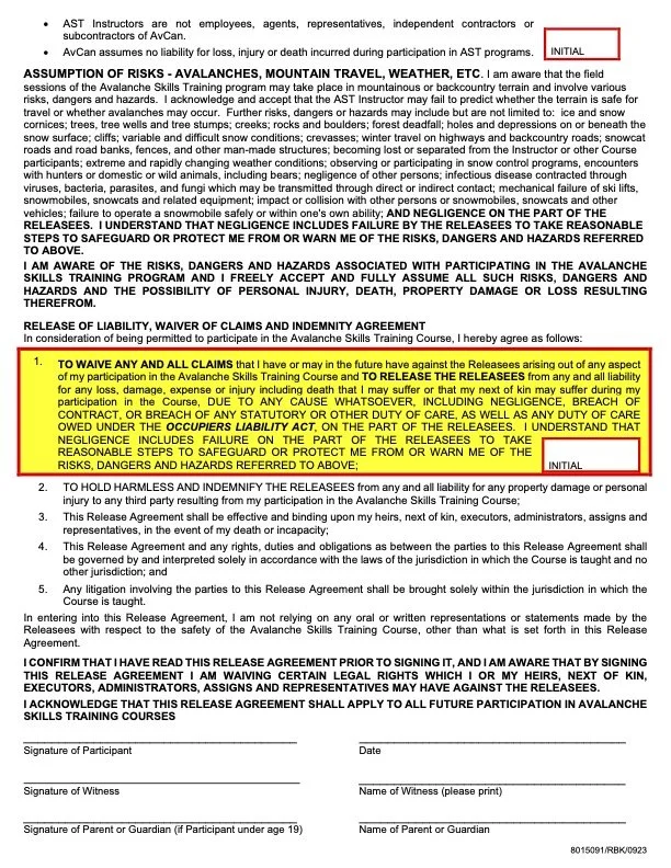
Pit and Peak Avalanche training waiver of liability please read before signing up for any of our courses.

Need to cancel?

Cancellations & Changes

We understand that plans can change—sometimes unexpectedly. Because we reserve your spot in advance, we’re unable to offer automatic refunds, but we do have a few options to help:

1. Purchase Cancellation Insurance
We strongly recommend purchasing cancellation insurance to protect your investment and provide peace of mind.

2. Cancellations 60+ Days in Advance
If you cancel 60 days or more before the first day of your trip, any payments made (excluding the non-refundable deposit) can either be refunded or applied as a credit toward a future trip—your choice.

3. Cancellations Within 14 Days
If you cancel 14 days or less before the trip start date, full payment is non-refundable.

4. Transfer Your Spot
If you’re unable to attend, you’re welcome to find someone to take your place—just let us know so we can update the booking.

PURCHASE TRAVEL / TRIP CANCELLATION INSURANCE AT https://acera.ca/get-a-quote/?wpf16415_5=personal